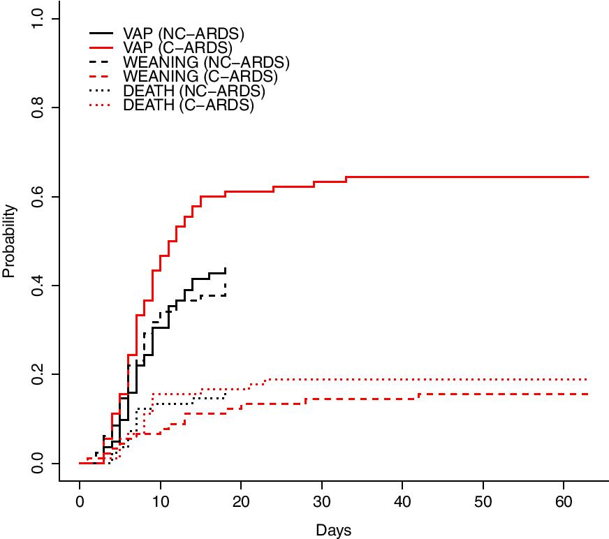
Fig. 1

Cumulative probability of ventilator-associated pneumonia (VAP) in C-ARDS (red) and NC-ARDS (black) patients. For analysis purpose, time from intubation to VAP (continuous line), to death (dotted line), and to weaning (dashed line) were handled as competing risks