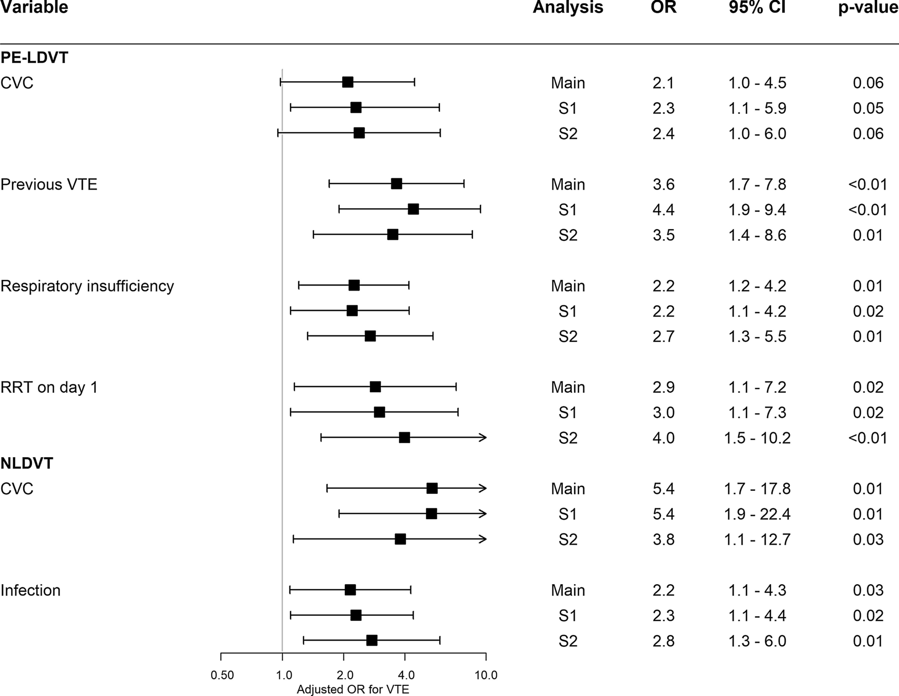
Fig. 2

Prognostic factors for PE-LDVT and NLDVT: results from the main analysis and sensitivity analyses. All analyses were adjusted for anticoagulant use in addition to the other variables. Main: main analysis including CVC as a predictor, results, therefore, differ slightly from the text and Fig. 1; S1: sensitivity analysis 1, the complete case analysis; S2: sensitivity analysis 2, excluding patients with outcome events detected within the first two days of ICU admission. CI confidence interval, CVC central venous catheter, NLDVT nonleg deep vein thrombosis, OR odds ratio, PE-LDVT pulmonary embolism and lower extremity deep vein thrombosis, RRT renal replacement therapy, VTE venous thromboembolism