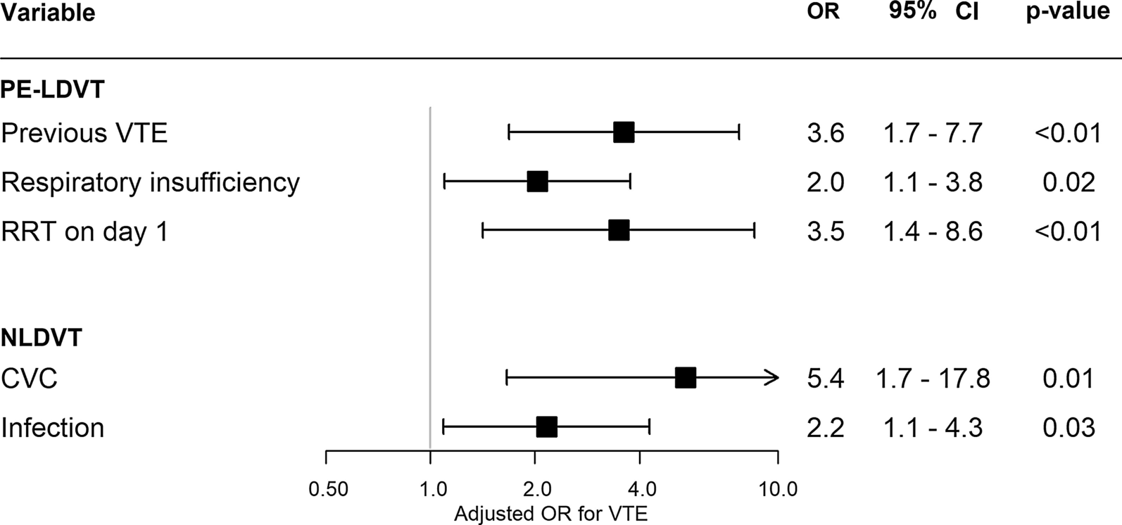
Fig. 1

Prognostic factors for PE-LDVT and NLDVT: results from the main analysis. All analyses were adjusted for anticoagulant use in addition to the other variables. CI confidence interval, CVC central venous catheter, NLDVT nonleg deep vein thrombosis, OR odds ratio, PE-LDVT pulmonary embolism and lower extremity deep vein thrombosis, RRT renal replacement therapy, VTE venous thromboembolism